武汉工程大学黄志良团队研究成果:铌掺杂磷灰石型硅酸镧的制备及其导电性能研究

作者:admin发布时间:2026-01-19浏览量:293

引言:


本论文以武汉工程大学黄志良教授团队研究成果及国家自然科学基金资助,文章选用离子电导率高、密度大的La9.33Si6O26作为基体,采用尿素-硝酸盐燃烧法在600 ℃下燃烧10-15 min 成功制备较高纯度无杂质相的铌掺杂La9.33Si6-xNbxO26+0.5x(x=0.00,0.05,0.10,0.15,0.20,0.30, LSNO)电解质粉体,800 ℃预烧12 h,经过压制成型、高温烧结得到LSNO陶瓷体。通过X射线衍射、扫描电子显微镜、电化学阻抗谱等测试方法对样品晶体结构、表面微观形貌及电导性能进行分析。结果表明,Nb5+成功掺杂取代[SiO4]中的Si4+,形成[Si(Nb)O4],随着掺量x增大,晶格体积增大,适量掺杂铌得到的LSNO纯度高且仍具有La9.33Si6O26 (LSO) P63/m磷灰石型晶体结构,可以有效提高硅酸镧电解质的电导率,最佳掺杂量为x=0.10,600 ℃时电导率达到8.81×10-4  S/cm。

图片

文章发表于《功能材料》2025年第56卷第01期,欢迎引用本文:    

田晓凤,黄志良,商海鑫,等. 铌掺杂磷灰石型硅酸镧的制备及其导电性能研究 [J].功能材料,2025,56(01): 01217-01222.

Tian Xiaofeng,Huang Zhiliang,Shang Haixin,et al. 铌掺杂磷灰石型硅酸镧的制备及其导电性能研究 [J].Journal of Functional Materials, 2025,56(01): 01217-01222.


1、文章速览


固体氧化物燃料电池(Solid Oxide Fuel Cell, SOFC)是一种可以直接将燃料中的化学能高效转化为电能的化学装置,因其高效率和燃料灵活等优点被认为是很有前途的一种能量转换装置,且它的产物不会对环境造成污染。SOFC主要分为钇稳定氧化锆(YSZ)、CeO2基电解质和BiO3基电解质。目前硅酸镧氧离子导体的导电机理主要有自由氧O(4)2-导电和间隙氧O(5)2-导电两种,当前研究较多的是以间隙氧导电为主的硅酸镧。与大多数其他离子导体相比,磷灰石型结构更能容忍更多的异价掺杂,这是优化硅酸镧导电性的有效途径。异价掺杂对硅酸镧氧离子电导率的改善可以通过阳离子部分取代La3+或Si4+来实现,通过掺杂取代可以增加硅酸镧La9.33Si6O26 (LSO)中间隙氧含量,从而有效提高其电导率,目前为止对镧位掺杂的研究较多,如在镧位掺杂Cu2+, Mg2+, Ca2+, Ba2+等可以有效提高硅酸镧的电导率,然而,对Si位掺杂研究较少,特别是在Si位掺杂高价离子的研究更少,比如Nb5+

本文尝试用离子半径较大且价态较高的Nb5+替换离子半径较小的Si4+,在63通道中形成额外的间隙氧缺陷Oi*,从而增大电导率。另外,通过增大Nb5+的掺杂量来增大晶格体积,从而降低空间中间隙氧传输的阻力,降低氧离子迁移所需的活化能,提高电导率。通过在600 ℃燃烧8-10 min成功制备LSNO陶瓷粉体,通过对LSNO的结构和电导率分析,揭示了在Si位掺杂高价态大半径离子的电导率机理是间隙氧导电。

目前,制备LSO电解质陶瓷的方法有溶胶-凝胶法、固相反应法、共沉淀法等,因其各自的缺点限制其进一步发展。本文使用尿素-硝酸盐燃烧法制备高纯度Nb掺杂的LSNO,该方法的优点是合成温度低,反应时间短,在600 ℃燃烧10-15 min即可。可通过样品的形貌、线收缩率和致密度来确定其最佳烧结温度,通过电化学阻抗谱(Electrochemical Impedance Spectroscopy,EIS)测试不同含量掺杂的LSNO验证适量掺杂Nb5+可有效提高硅酸镧的电导率。


2、图文展示


图片

图1 LSNO实验流程图

图片

 图2 La9.33Si6-xNbxO26+0.5x电解质陶瓷的XRD

图片

 图3 La9.33Si5.9Nb0.1O26.05电解质陶瓷的XPS谱图  

图片

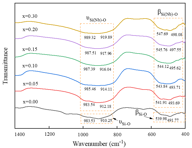
 图4 La9.33Si6-xNbxO26+0.5x电解质陶瓷的FT-IR图

图片

  图5(a)La9.33Si5.9Nb0.1O26.05的线收缩率和致密度与温度的关系;(b) La9.33Si6-xNbxO26+0.5x的线收缩率和致密度与Nb5+掺量的关系


图片

图6 La9.33Si5.9Nb0.1O26.05在不同烧结温度下的SEM图:(a)1400℃,(b)1500℃,(c)1600℃


图片

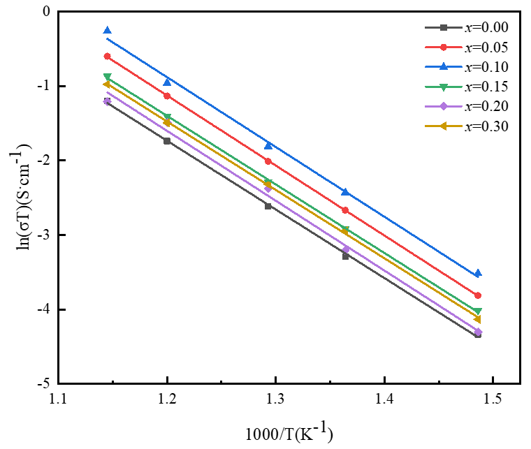
 图7 La9.33Si6-xNbxO26+0.5x的电导率与温度的关系  

图片

图8 La9.33Si6-xNbxO26+0.5x电解质陶瓷的掺杂电导增强机理结构模型:(a)-La9.33(Si6O24)(Oi)2;(b)La9.33(Si6-xNbxO24)(Oi)2+0.5x


3、结论


(1)使用尿素硝酸盐燃烧法在600 ℃点燃8-10 min成功制备了不同浓度Nb掺杂的LSNO体电解质粉体。通过线收缩率、相对密度及SEM图综合考虑选取1500 ℃作为最佳烧结温度。

(2)运用XRD、XPS、FT-IR等手段对样品表征,XRD结果表明Nb元素成功掺入LSO晶格中,且未破坏LSNO典型的 P63/m 磷灰石型结构,未发现 La2SiO5、La2Si2O7以及 LaNbO3等常见的杂质相,说明所制备的 LSNO 纯度高。 

(3)XPS、FT-IR结构分析表明:XPS表明Nb成功取代部分Si进入[Si(Nb)O4]四面体结构中; FT-IR显示Nb掺杂硅酸镧的υSi-O、ρSi(Nb)-O、βSi(Nb)-O的振动频率均有一定程度的偏移,进一步证明铌成功掺入硅酸镧电解质。

(4)电化学阻抗谱(EIS)测试表明,相比于未掺杂的LSO,掺入Nb5+后的LSNO电解质陶瓷的电导率明显增加,当掺量x=0.10时,电导率最大,为8.81×10-4 S/cm (T=600 ℃),x≤0.1时,LSNO电导率随x增加而增加,x>0.1时,电导率随x增大而减小,其原因是Nb5+进入[SiO4]四面体结构,使间隙氧Oi*含量增加,但过量Nb5+加入导致63通道堵塞,从而使硅酸镧电导率下降。

(5)综合分析各项表征与测试,铌元素掺杂磷灰石型硅酸镧能够有效提高其电导率,间隙氧浓度缺陷是其电导增强机理。