广东工业大学莫松平团队研究成果:基于Brij复配乳化剂的硬脂酸乳液制备及性能

作者:admin发布时间:2026-01-19浏览量:348

引言:

相变乳液是一种具有高储热密度和流动性的潜热型功能热流体。文章研究了旨在开发用于热能存储与传输的硬脂酸相变乳液,选取非离子表面活性剂Brijs分别与阳离子表面活性剂CTAB、阴离子表面活性剂SDS和SDBS、非离子表面活性剂Tween 40和Tween 60等3种类型的表面活性剂进行复配,通过相反转乳化法制备了硬脂酸相变纳米乳液。经过优化制备工艺参数,成功制备了平均液滴尺寸<100 nm、分散相含量最高达30%(质量分数)的稳定纳米乳液。制备的纳米乳液具有较高的相变潜热,且在长时间贮存和100次冻融循环条件下表现出良好的流动性和稳定性。论文基于广东工业大学莫松平教授研究成果以及国家自然科学基金项目资助。


1、文章速览


相变乳液在热能储存、热管理和相关领域具有广泛的应用前景。相变乳液一般可分为O/W(水包油)、W/O(油包水)和O/O(油包油)3种类型。由于水的粘度相对较小,O/W乳液通常是首选。其中,水包石蜡乳液是一种研究较多的对象,对于非石蜡基相变乳液的研究文章较少。脂肪酸作为相变材料,凭借热容量大、无毒、热和化学惰性、来源丰富等优点,在热能储存和传输领域展现出巨大的潜力,并因其高稳定性、高潜热及生物基特性,成为相变乳液开发中的优选候选材料。

本文基于Brijs的表面活性剂复配体系对以硬脂酸为代表的脂肪酸纳米乳液的制备及性能的影响。根据硬脂酸的熔点等性质和Brijs的特性选择合适的Brij表面活性剂。选用Brij 30(四聚乙二醇单月桂醚)、Brij 35(聚氧乙烯(23)月桂醚)和Brij 98(聚氧乙烯月桂醚)这3种Brij表面活性剂。同时,将这3种表面活性剂分别与阳离子表面活性剂CTAB(十六烷基三甲基溴化铵)、阴离子表面活性剂SDS(十二烷基硫酸钠)和SDBS(十二烷基苯磺酸钠)、非离子表面活性剂Tween 40(聚氧乙烯-20山梨糖-单铝酸酯)和Tween 60(聚氧乙烯-20山梨糖-单硬脂酸酯)进行复配,以筛选最优的表面活性剂复配体系。


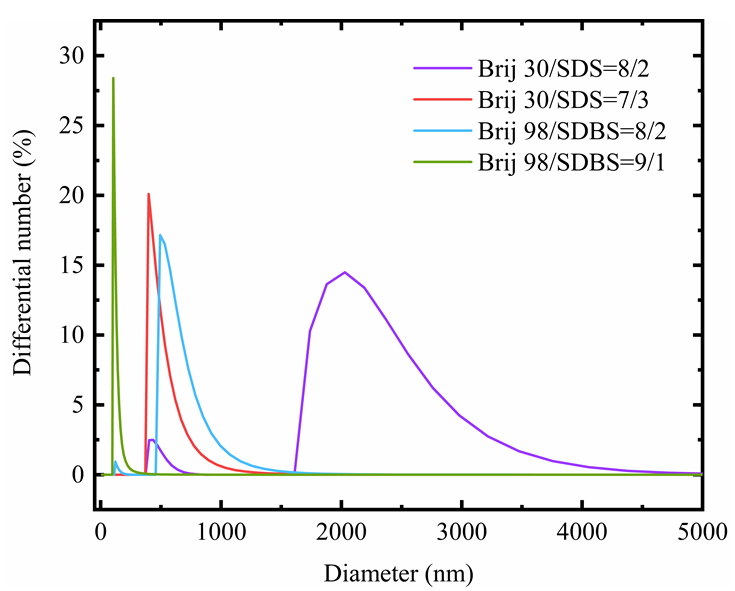
2、图文展示


图片

 图2 Brijs和SDS/SDBS组合离心后不分层样品的粒径分布图


图片

图4 Brijs和CTAB组合离心后不分层样品的粒径分布图


图片

图5 Brij 98和Tween的组合粒径分布图


图片

图6 Brij 98/Tween复配乳液:(a)斜置图;(b)流动图


图片

 图9 热循环前后乳液的DSC曲线


图片

 图10 Brij 98/Tween 40=1/9在不同O/S比下的不稳定性指数



3、结论


(1)Brij 98/Tween 40=1/9表面活性剂组合对硬脂酸的乳化效果最佳,相应的最佳HLB值为15.59,得到的乳液流动性好、贮藏稳定性好、液滴尺寸<100 nm。

(2)当PCM/表面活性剂=70/30或75/25时,成功制备得到了潜热高达21.52 kJ/kg的纳米乳液,经过100次冻融循环相变焓没有下降,表明其热可靠性高,为脂肪酸乳液的制备和性能优化提供有价值的参考。


图片

引用本文

文章发表于《功能材料》2025年第56卷第1期,欢迎引用本文:    

余昱欣,莫松平,陈瑜芬,等.基于Brij复配乳化剂的硬脂酸乳液制备及性能 [J].功能材料,2025,56(1):01007-01016.

Yu Y X,Mo S P,Chen Y F,et al.Preparation and properties of stearate acid emulsions of Brij compound emulsifier[J].Journal of Functional Materials, 2025,56(1):01007-01016.