重庆师范大学曾召益团队研究成果:ThO₂晶格动力学性质和热输运性质第一性原理研究

作者:admin发布时间:2026-01-23浏览量:254

引言:

在全球能源需求持续增长背景下,新能源开发成为研究重点。传统核燃料UO₂虽广泛应用,但其放射性废物处理难题亟待解决。ThO₂因放射性废料少、热物理性质优越,被视为UO₂的潜在替代材料。然而,ThO₂在高温高压环境下的力学与热力学性质尚不明确,限制了其实际应用。因此,本文基于第一性原理研究ThO₂的晶格动力学性质和热输运性质,旨在揭示其在极端条件下的行为规律,为核能材料设计提供理论支持。论文基于重庆师范大学曾召益教授团队研究成果及国家自然科学基金项目资助。


1、研究背景

ThO₂在常温常压下以萤石结构结晶,高压下可转变为氯化铅结构。实验与理论均表明,萤石结构ThO₂在高压下具有稳定性。声子色散是研究晶格动力学和原子振动的关键手段,通过分析声子色散曲线,可获取材料的热传导特性。密度泛函理论(DFT)与玻尔兹曼输运方程(BTE)结合,已成为评估材料热导率的可靠方法。此外,基于机器学习的分子动力学(AIMD)方法通过缩短计算周期、节约成本,同时保持高准确性,为材料模拟提供了新思路。

 

2、创新亮点

(1)多方法协同:首次将传统DFT方法与AIMD结合,系统研究ThO₂的晶格动力学和热输运性质。通过DFT计算声子色散,结合BTE预测热导率,再利用AIMD验证模拟结果,确保结论可靠性。

(2)高压环境探索:在0~30 GPa压力范围内,系统研究ThO₂的声子色散和晶格热导率。发现高压下ThO₂具有动力学稳定性,且声学声子与光学声子之间出现间隙,间隙随压强增加而扩大。

(3)微观机制解析:通过计算Grüneisen参数、声子群速度和弛豫时间,深入分析压强对热导率的影响。结果表明,声学声子对热导率的贡献占主导地位,且贡献比例随压力增加而增大。

(4)实验验证与理论预测:AIMD模拟的0 GPa下晶格热导率与实验值接近,验证了方法的准确性。同时,预测了30 GPa压强下热导率的变化趋势,为高压环境应用提供理论依据。


3、图文展示


图片

图1 ThO2声子谱(a)和分波态密度(b)

 Fig.1 (a) The phonon dispersions and (b) projected density of state of ThO2

图片

图2 ThO2不同压力下的声子色散曲线。

Fig. 2 The phonon dispersions of ThO2 at different pressures

图片

 

图3 ThO2的晶格热导率。五角星、三角形和圆圈是零压下的实验结果。

Fig.3 The lattice thermal conductivity of ThO2. The open pentagrams, triangles and circles are experimental results at zero pressure 

图片

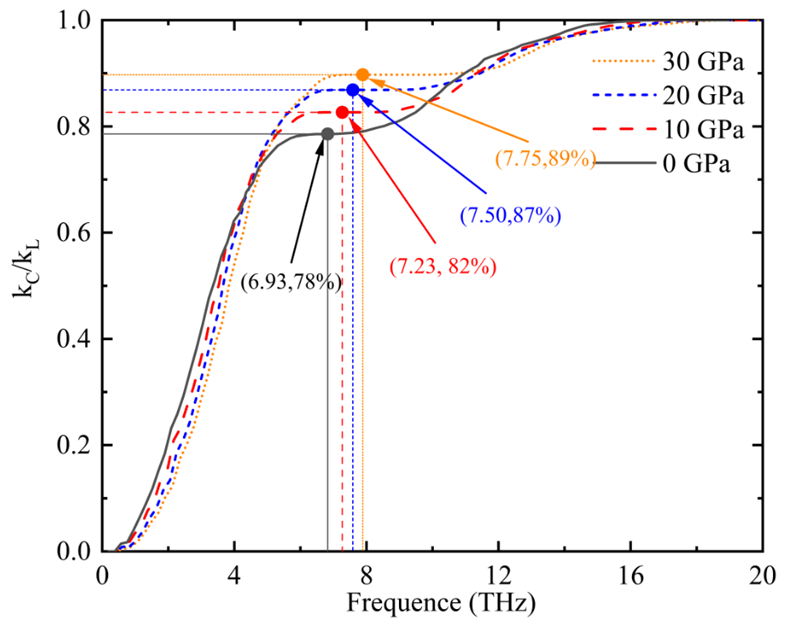
图4 归一化晶格热导率随频率的变化。

Fig.4 Normalized lattice thermal conductivity of ThO2


4、结论

(1)动力学稳定性:在0~30 GPa压力范围内,ThO₂的声子色散曲线无虚频,表明其在高压下具有动力学稳定性。

(2)声子间隙效应:压强增加导致声学声子与光学声子之间出现间隙,且间隙随压强增大而扩大。这一现象使得晶格热传导更依赖于声学声子。

(3)热导率预测:通过DFT与BTE结合,预测了ThO₂在高压下的晶格热导率,并采用AIMD模拟验证了0 GPa下的结果。模拟值与实验值吻合,证明方法可靠。

(4)声学声子主导:声学声子对ThO₂晶格热导率的贡献起主要作用,且贡献比例随压力增加而增大。

(5)压强调控机制:压强增加通过提高声学声子群速度和弛豫时间,显著提升了ThO₂的晶格热导率。

本文研究不仅深化了对ThO₂高压热力学性质的理解,还为核能材料在极端条件下的应用提供了理论指导。



图片

引用本文

 

文章发表于《功能材料》2025年第56卷第4期,欢迎引用本文:    

焦亩鑫,孙千惠,胡柯,等.ThO2晶格动力学性质和热输运性质第一性原理研究[J].功能材料,2025,56(4):04142-04146.

Jiao M X,Sun Q H,Hu K,et al.First-principles study of lattice dynamics properties and thermal transport properties of ThO2[J].Journal of Functional Materials,2025,56(4):04142-04146.