天津大学季惠明团队研究成果!高温处理硅基气凝胶力学性能规律与动态分析

作者:admin发布时间:2026-01-28浏览量:393

引言

图片

本文探讨了高温处理对硅基气凝胶力学性能的影响及其动态分析。随着新能源技术的发展,工业节能技术变革需求迫切,气凝胶作为一种理想的节能材料,在高温隔热、节能降耗及能源高效利用等领域展现出巨大潜力。特别是SiO2气凝胶,以其低密度、高比表面积、高孔隙率及超低热导率等特性,成为建筑外墙保温、管道保温、飞行器热防护等多个领域的优选材料。


01、研究背景

硅基气凝胶复合材料,如纤维增强型气凝胶,因其优异的隔热性能被广泛应用于高温隔热领域。然而,随着材料应用领域的不断拓展,对其承载性能(如抗压缩、抗拉伸)的要求也日益提高。因此,研究高性能气凝胶隔热材料的力学性能强化及规律显得尤为重要。尽管已有大量研究关注气凝胶的静态力学性能,但在动态力学性能表征方面的研究仍显不足。本文旨在通过非接触测量手段——数字图像相关方法(DIC),研究高温处理对硅基气凝胶复合材料力学性能的影响及其动态响应。文章基于天津大学季惠明教授团队研究成果及国家自然科学基金项目资助。


02、创新亮点

(1)多维度表征技术:本文结合了SEM、XRD、红外光谱和数字图像相关技术等多种表征手段,全面分析了高温处理对硅基气凝胶复合材料微观结构、晶型结构、化学键价及力学性能的影响。

(2)动态力学性能分析:采用DIC数字图像相关方法,首次在气凝胶隔热材料表面喷涂散斑,通过光学测试手段获得材料在力学载荷加载过程中的全场应变/位移信息,并以力学应变-位移场云图形式展示,实现了对材料动态力学性能的深入分析。

(3)高温环境下的性能研究:以应用环境温度为变量,系统研究了高温处理(室温至1 000 ℃)对硅基气凝胶复合材料力学性能的影响,揭示了其力学性能随温度变化的规律及动态响应机制。


03、图文展示

图片

图1 硅基气凝胶复合材料在不同温度处理后的微观形貌:(a)室温;(b)400 ℃;(c)1 000 ℃

Fig.1 Microstructure of silicon-based aerogel composites after treatment at different temperatures:(a)Room temperature;(b)400 ℃;(c)1 000 ℃

图片

图2 气凝胶复合材料在不同温度处理后的FT-IR红外光谱曲线

Fig. 2 The FT-IR infrared spectra curves of aerogel composites treated at different temperatures for 30 min

图片

图3 气凝胶复合材料在室温至1 000 ℃之间的热重-差热分析曲线

Fig.3 The TG-DSC curves of aerogel composites from room temperature to 1 000 ℃

图片

图4 气凝胶复合材料在1 000 ℃高温使用前后的XRD曲线

Fig.4 The XRD curves of aerogel composites before and after high temperature use at 1 000 ℃.

图片

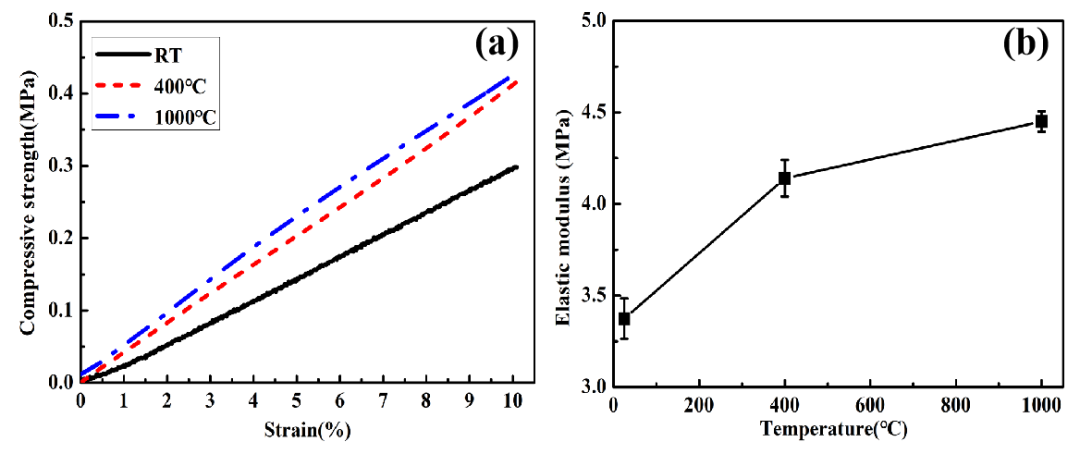
图6 不同温度下的气凝胶复合材料压缩性能曲线:(a) 压缩强度-应变曲线;(b) 压缩模量-温度曲线 

Fig.6 Compression performance curve of aerogel composites at different temperatures:(a)Compressive strength-strain curves;(b) Compression modulus-temperature curve

图片

图8 温度对气凝胶复合材料拉伸性能的影响曲线

Fig.8 The influence curves of temperature on the tensile properties of aerogel composites


04、结论

本文通过实验制备了莫来石纤维增强硅基气凝胶复合材料,并采用多种表征手段对其在不同温度下的力学性能进行了系统研究。结果表明:

(1)力学性能显著提升:随着热处理温度的升高,硅基气凝胶复合材料的压缩强度和模量均显著增大。在1 000 ℃时,形变10%的压缩强度比室温时提高了43.3%,拉伸强度提高了102.2%,显示出优异的高温力学性能。

(2)微观结构稳定性:高温处理未导致硅基气凝胶复合材料微观结构的显著变化,气凝胶多孔结构保持完整,未出现孔结构坍塌、颗粒烧结等现象,为材料的优异隔热和力学性能奠定了基础。

(3)动态力学性能表征:通过DIC数字图像相关方法获得的力学应变-位移场云图,直观展示了材料在力学载荷加载过程中的动态响应。随着温度的升高,压缩力和拉伸应变场的分布更加均匀,表明高温处理增强了气凝胶颗粒与纤维之间的界面结合力,提高了材料的力学性能。

综上所述,本文通过系统的实验研究和多维度表征分析,深入揭示了高温处理对硅基气凝胶复合材料力学性能的影响规律及其动态响应机制,为高性能气凝胶隔热材料的研发和应用提供了重要参考。


引用本文

文章发表于《功能材料》2025年第56卷第6期,欢迎引用本文:    

周玉贵,陈之伟,苏冬,等.高温处理硅基气凝胶力学性能规律与动态分析[J].功能材料,2025, 56(6):06001-06006. 

Zhou Y G,Chen Z W,Su D,et al.Mechanical properties and dynamic analysis of high temperature treated silicon-based aerogels[J].Journal of Functional Materials,2025, 56(6):06001-06006.