长安大学马峰团队研究成果:寒区高黏沥青低温流变及混合料路用性能研究

作者:admin发布时间:2026-04-07浏览量:15

引 言

多孔沥青路面因其优异排水降噪性能在道路工程中应用广泛,但传统多孔沥青混合料在寒冷地区的低温环境下易出现开裂等问题,影响路面的使用寿命和行车安全。因此,提升沥青路面在寒区的低温抗裂性能成为当前研究的重点。高黏改性沥青凭借其高黏弹特性,在寒区路面改良中展现出巨大潜力。本研究旨在通过掺入不同比例的HVA高黏添加剂,制备高黏改性沥青,并系统评估其低温流变性能及多孔沥青混合料的路用性能,为寒区多孔沥青路面的设计提供科学依据。

文章基于长安大学马峰教授团队研究成果及国家重点研发计划项目资助,采用低温蠕变和应力松弛试验,分析高黏改性沥青低温流变性能,结合高温车辙、低温小梁弯曲及冻融劈裂试验,对采用HVA高黏改性沥青制备的多孔沥青混合料进行路用性能评价。



01、研究背景

近年来,国内外学者在高黏改性沥青领域取得了显著成果,如采用SBS改性剂、增黏剂、废胶粉等材料制备高黏沥青,显著提升了沥青的高温抗变形能力和抗疲劳性能。然而,针对寒区极端气候条件下沥青路面低温性能的研究仍显不足。现有研究多集中于提升沥青的抗疲劳、抗老化和高温稳定性,而对低温流变性能及混合料路用性能的系统评价相对较少。

因此,本研究依托川西高原高速公路,结合其冬寒夏冷的特殊环境,开展寒区高黏沥青低温流变及混合料路用性能研究,具有重要的工程实际意义。


02、创新亮点

(1)多掺量梯度设计

本研究创新性地设置了10%、12%、14%、16%这4种HVA掺量梯度,通过系统的试验设计,全面评估了不同掺量对沥青性能的影响,揭示了HVA掺量与沥青低温流变性能之间的定量关系。

(2)低温流变性能深度解析

采用低温蠕变与应力松弛试验,深入分析了高黏改性沥青在低温环境下的蠕变劲度、蠕变速率及应力松弛能力,揭示了HVA掺入对沥青低温性能的改善机制。

(3)混合料路用性能综合评价

结合车辙、小梁弯曲及冻融劈裂试验,对多孔沥青混合料的高温稳定性、低温抗裂性和水稳定性进行了系统评价,验证了HVA高黏改性沥青在寒区路面的适用性。

(4)最佳掺量的明确

通过对比分析,明确了HVA最佳掺量为14%,此时高黏改性沥青在低温流变性能和混合料路用性能方面均表现出色,为寒区路面材料设计提供了重要参考。


03、图文展示

图片

图1 三大指标: (a) 针入度; (b) 5 ℃延度; (c) 软化点

Fig.1 Three key performance indicators: (a) penetration; (b) 5 ℃ ductility; (c) softening point

图片

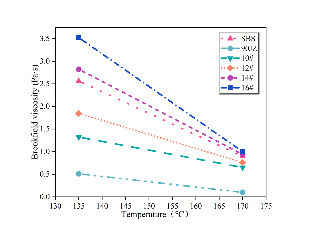
图2 不同沥青布氏黏度

Fig.2 Brookfield viscosity of different asphalts

图片

图3 沥青黏温曲线

Fig.3 Asphalt viscosity-temperature curves

图片

图4 不同温度下沥青的m值: (a) -12℃; (b) -18℃; (c) -24℃

Fig.4 Asphaltat m-values different temperatures: (a) -12 ℃; (b) -18 ℃; (c) -24 ℃

图片

图5 不同温度下沥青的S值: (a) -12 ℃; (b) -18 ℃; (c) -24 ℃

Fig.5 S-values of asphalt at different temperatures: (a) -12 ℃; (b) -18 ℃; (c) -24 ℃

图片

图7 不同温度下沥青剪切应力分布: (a) -12 ℃; (b) -18 ℃; (c) -24 ℃

Fig.7 Shear stress distribution in asphalt under different temperatures: (a) -12 ℃; (b) -18 ℃; (c) -24 ℃

图片

图9 不同沥青混合料车辙试验: (a) 动稳定度; (b) 相对变形率

Fig.9 Rutting test of different asphalt mixtures: (a) dynamic stability; (b) relative deformation rate

图片

图10 不同沥青混合料小梁弯曲试验: (a) 抗弯拉强度; (b) 弯曲破坏应变

Fig.10 Beam bending test for different asphalt mixtures: (a) flexural tensile strength; (b) bending failure strain


04、结 论

(1)HVA掺量对沥青性能的影响:HVA的掺入显著提高了沥青的黏度和高温抗变形能力,但掺量过高会导致沥青过黏,影响施工和易性及低温塑性变形能力。综合比选下,14%为HVA最佳掺量。

(2)低温流变性能提升:HVA的掺入有效提升了沥青的低温蠕变性能和应力松弛能力,14%掺量下HVMA性能最优。然而,在较低温度(-18℃至-24℃)条件下,HVMA脆性增加,低温流变性能下降。

(3)混合料路用性能优异:以14%HVA掺量制备的OGFC-13混合料在高温稳定性、低温抗裂性和水稳定性方面均表现出色,尤其是低温抗裂性能显著优于基质沥青和SBS改性沥青混合料。

(4)工程应用前景广阔:本研究成果为寒区多孔沥青路面的材料设计提供了科学依据,HVA高黏改性沥青在提升寒区路面低温抗裂性能方面具有显著优势,有望在类似气候条件下得到广泛应用。



引用本文

文章发表于《功能材料》2026年第57卷第2期,欢迎引用本文:    

马峰,伍赛林,姜欣野,等.寒区高黏沥青低温流变及混合料路用性能研究[J].功能材料,2026,57(2):1-9.

MA F,WU S L,JIANG X Y,et al.Research on low-temperature rheological properties of high-viscosity asphalt in cold regions and pavement performance of its mixtures[J].Journal of functional materials,2026,57(2):1-9.