哈尔滨工业大学晏义伍团队研究成果:优良力学性能的阻燃碳纤维/环氧复合材料制备及其性能研究

作者:admin发布时间:2026-04-01浏览量:18

引言

碳纤维增强环氧树脂(CF/EP)复合材料因其优异的力学性能、轻量化特性及耐腐蚀性,在航空航天、轨道交通等领域得到广泛应用。然而,其易燃性和燃烧过程中的“烛芯效应”显著增加了火灾风险,限制了其在高安全性要求场景中的应用。本文通过复配反应型阻燃剂DOPO-DICY与添加型阻燃剂DMMP,制备了阻燃性能与力学性能兼优的CF/EP复合材料,旨在解决这一难题。

文章基于哈尔滨工业大学晏义伍团队研究成果及广东省重点领域研发计划项目、广东省基础与应用基础研究基金资助,通过垂直燃烧测试、动态力学分析、热重分析和力学性能测试等方法,系统研究了阻燃剂复配比例对复合材料性能的影响。


01、研究背景

CF/EP复合材料的易燃性问题:CF/EP复合材料中,环氧树脂的易燃性以及碳纤维的“烛芯效应”使得材料在燃烧过程中热量和燃烧物质迅速扩散,加剧了火势蔓延,严重威胁使用安全。

传统阻燃剂的局限性:尽管传统阻燃剂能提升CF/EP复合材料的阻燃性能,但往往导致力学性能显著下降,如弯曲强度和层间剪切强度的大幅降低,限制了其实际应用效果。

磷-磷协同阻燃机制:磷-磷协同阻燃机制通过促进环氧树脂形成具有更高石墨化程度和机械强度的炭层,有效抑制“烛芯效应”,同时避免复杂的碳纤维表面修饰工艺,成为提升CF/EP复合材料综合性能的新途径。

 

02、创新亮点

(1)复配阻燃剂设计

本文创新性地采用反应型阻燃剂DOPO-DICY与添加型阻燃剂DMMP复配,利用DOPO-DICY的刚性结构提升复合材料的玻璃化转变温度,同时通过DMMP在低温下促进脱水成炭,二者协同作用形成致密炭层,有效抑制“烛芯效应”。

(2)微观结构调控

通过调控DOPO-DICY与DMMP的复配比例,实现了对复合材料微观结构的优化。当DMMP添加量为12份、DOPO-DICY添加量为15份时,复合材料展现出最优异的阻燃性能和力学性能。

(3)性能协同提升

复配阻燃剂体系不仅显著提升了CF/EP复合材料的阻燃性能,使其达到UL94 V-0级,同时保持了较高的力学性能,弯曲强度和层间剪切强度较未改性前仅下降7%和17%,远优于传统阻燃剂改性效果。

(4)机理深入探索

结合红外光谱、热机械性能测试、阻燃性能测试、热失重分析及力学性能测试等手段,深入探讨了复配阻燃剂对复合材料性能的影响机理,揭示了磷-磷协同阻燃机制在提升复合材料综合性能中的关键作用。


03、图文展示

图片

图2 DOPO、DICY和DOPO-DICY的红外光谱图

Fig.2 FTIR Spectra of DOPO, DICY and DOPO-DICY

图片

 图3 环氧树脂损耗因子-温度关系曲线图

Fig.3 tanδ-temperature curve of epoxy resin 

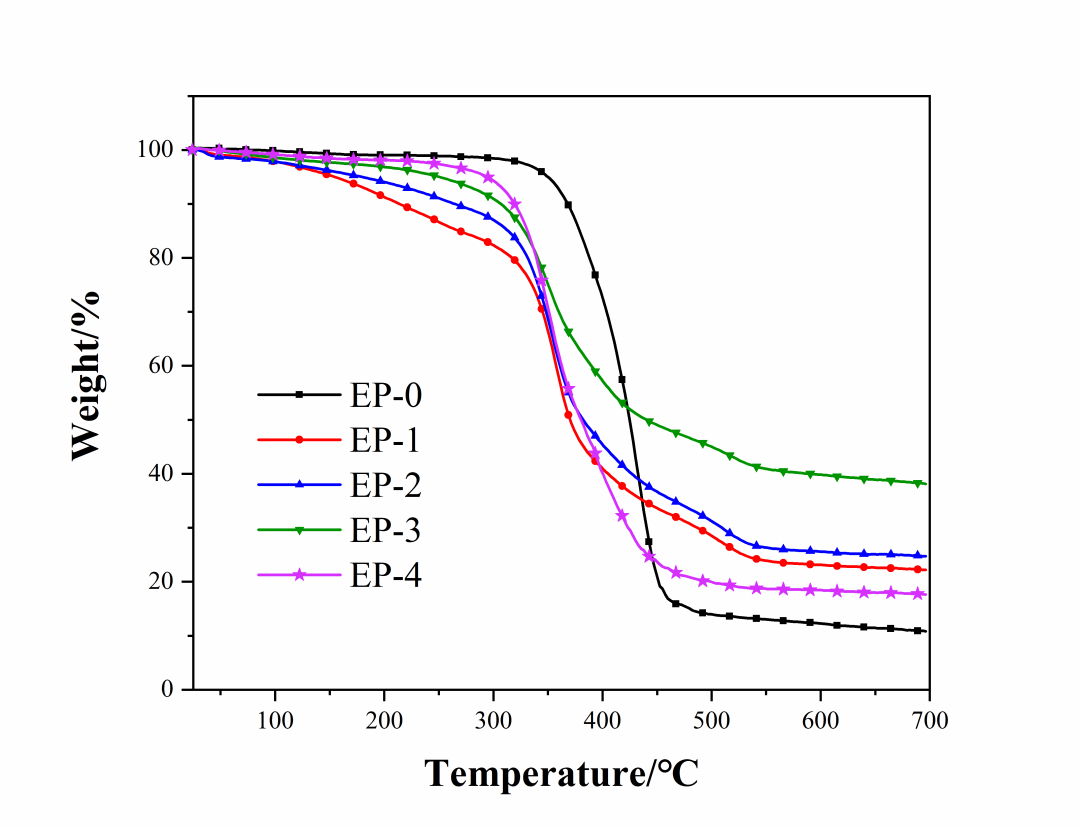
图片

图4 环氧树脂热失重曲线图

Fig.4 Thermogravimetric curve of epoxy resin

图片

 图5 复合材料的力学性能

Fig.5 Mechanical properties of composite


04、结论

(1)阻燃性能显著提升:通过复配DOPO-DICY与DMMP阻燃剂,CF/EP复合材料成功达到UL94 V-0级阻燃标准,显著提升了材料在火灾条件下的安全性。

(2)力学性能有效保持:复配阻燃剂体系在提升阻燃性能的同时,有效保持了复合材料的力学性能,弯曲强度和层间剪切强度较未改性前仅下降7%和17%,满足了高安全性要求场景下的使用需求。

(3)微观结构与性能关系明确:通过调控阻燃剂复配比例,实现了对复合材料微观结构的优化,进而提升了材料的综合性能。磷-磷协同阻燃机制在形成致密炭层、抑制“烛芯效应”方面发挥了关键作用。

(4)工艺简单可行:相比碳纤维表面阻燃改性工艺,本文采用的复配阻燃剂体系工艺简单、成本低廉,易于规模化生产,为高性能阻燃CF/EP复合材料的开发提供了新思路。


引用本文

文章发表于《功能材料》2025年第56卷第12期,欢迎引用本文:    

魏陇沙,朱敏杰,晏义伍,等.优良力学性能的阻燃碳纤维/环氧复合材料制备及其性能研究[J].功能材料. 2025, 56(12):12028-12034.

WEI L S,ZHU M J,YAN Y W,et al.Preparation and properties of fire-retardant carbon fiber/epoxy composites with excellent mechanical performance[J].Journal of functional materials,2025,56(12):12028-12034.