盖学周团队研究成果:PMN-PNN-PZT大应变压电陶瓷的制备及性能研究

作者:admin发布时间:2026-01-22浏览量:277

引言:

大应变压电陶瓷因具备将机械能与电能高效转换的特性,在精密驱动、能量收集等领域展现出重要应用价值。传统压电陶瓷难以同时满足高压电应变与高居里温度的需求,限制了其在高温环境下的应用。本文针对这一瓶颈,通过四元系固溶体设计,研发了一种新型PMN-PNN-PZT压电陶瓷,旨在实现高压电性能与高温稳定性的协同提升,为高端压电器件的国产化提供材料支撑。论文基于杭州应用声学研究所盖学周团队研究成果及国家自然科学基金项目资助。


一、研究背景:

传统材料局限性:以锆钛酸铅(PZT)为基体的多元压电陶瓷虽通过成分优化提升了性能,但仍面临以下挑战:一是,铌镍酸铅(PNN)虽具有高介电常数和低温烧结优势,但居里温度低(约150 ℃),高温稳定性不足;二是,铌镁酸铅(PMN)熔点高、易形成焦绿石相,导致化学活性差;三是,三元系材料在高压电性能与温度稳定性间难以平衡。

四元系设计思路:本研究将PMN、PNN与PZT复合,构建四元系固溶体(0.3-x)PMN-xPNN-0.7PZT,通过调控PNN含量(x值),在准同型相界(MPB)附近优化材料性能,以期突破传统材料的性能边界。


二、 创新亮点

(1)四元系固溶体设计:创新性地采用传统固相反应法合成(0.3-x)PMN-xPNN-0.7PZT陶瓷,通过PNN固溶量(x)的精准调控,在MPB区域实现晶格畸变与相结构优化,显著提升电学性能。x=0.06时,材料综合性能最佳:

● 高压电性能:d₃₃值达692 pC/N,机电耦合系数kₚ=0.682,较传统PZT基陶瓷提升约30%;

● 高居里温度:Tc=263 ℃,较PNN基陶瓷提高113 ℃,满足高温应用需求;

● 优异的温度稳定性:在25~180 ℃范围内单极应变量变化<15%,适用于宽温域场景。

(2)微观机制解析:通过XRD、SEM等手段揭示了PNN固溶对材料性能的影响机制,可知PNN掺杂促进烧结致密化,减少了气孔率;引起晶格畸变,拓宽MPB范围,增强极化响应;抑制焦绿石相生成,提升相结构稳定性。

(3)应用潜力拓展:该材料在高温压电致动器、航空传感器等领域具有显著应用优势,其性能优于多数同类报道材料,为极端环境下的压电器件提供了新的材料解决方案。


 三、图文展示

图片

图1 不同前驱体浓度XRD图

Fig.1 XRD patterns of ITO powders prepared with different feed flow rate ratios

图片

图2 (a) (0.3-x)PMN-xPNN-0.7PZT陶瓷的XRD图谱;(b) 43°~46°附近的放大图;(c) 不同相分数随x的变化

Fig.2 (a) XRD patterns of (0.3-x)PMN-xPNN-0.7PZT ceramics;(b) the enlarged pattern of 43°~46°;(c) variation of different phases fractions with x

图片

图3 (0.3-x)PMN-xPNN-0.7PZT陶瓷的断面SEM图和平均晶粒尺寸变化:(a) x=0.04;(b) x=0.06;(c) x=0.08;(d) x=0.10;(e) x=0.12;(f) 平均晶粒尺寸变化

Fig.3 SEM images of cross-sections of (0.3-x)PMN-xPNN-0.7PZT ceramics and variation of average grain size: (a) x=0.04;(b) x=0.06;(c) x=0.08;(d) x=0.10;(e) x=0.12;(f) variation of average grain size

图片

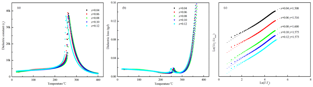
图4 (0.3-x)PMN- xPNN-0.7PZT陶瓷介电性能:(a) 介电常数随温度变化;(b) 介电损耗随温度变化;(c) Ln(1/εr-1/εmax)~Ln(T-Tc)随x变化

Fig.4 Dielectric properties of (0.3-x)PMN- xPNN-0.7PZT ceramics:(a) variation of εr with temperature; (b) variation of tgδ with temperature;(c) variation of Ln(1/εr-1/εmax)~Ln(T-Tc) with x

图片

图6 (0.3-x)PMN-xPNN-0.7PZT陶瓷:(a) 绝缘电阻率、体积密度随x的变化;(b) 介电常数、机电耦合系数随x的变化;(c) 压电常数、机械品质因数随x的变化

Fig.6 (0.3-x)PMN-xPNN-0.7PZT ceramics:(a) variation of Resistivity and ρ with x;(b) variation of εr and kp with x;(c) variation of d33 and Qm with x

图片

图7 0.24PMN-0.06PNN-0.7PZT陶瓷:(a) 25~180 ℃温度范围的单极应变;(b) 退极化曲线

Fig.7 0.24PMN-0.06PNN-0.7PZT ceramics: (a) unipolar strain with the temperature from 25 to 180℃;(b) depolarization curves



四、结论

本研究成功制备了(0.3-x)PMN-xPNN-0.7PZT四元系压电陶瓷,通过PNN固溶量调控实现了高压电性能与高居里温度的平衡。当x=0.06时,材料综合性能最优,d₃₃值达692 pC/N,Tc=263 ℃,且温度稳定性优异。该成果不仅为高性能压电陶瓷的制备提供了新方法,更推动了压电材料在高温领域的应用进程,对促进我国高端压电器件国产化具有重要意义。



引用本文:

文章发表于《功能材料》2025年第56卷第2期,欢迎引用本文:    

盖学周,吴凡,汪跃群,等.Pb(Mg1/3Nb2/3)O3-Pb(Ni1/3Nb2/3)O3-Pb(ZrTi)O3大应变压电陶瓷的制备及性能研究[J].功能材料,2025,56(2):02010-02017.

Gai X Z,Wu F,Wang Y Q,et al.Preparation and properties of Pb(Mg1/3Nb2/3)O3-Pb(Ni1/3Nb2/3)O3-Pb(ZrTi)O3 high-strain piezoelectric ceramics[J].Journal of Functional Materials,2025,56(2):02010-02017.