中国石油大学(北京)于开元团队研究成果:NiTiNb合金力致相变与位错塑性的晶粒尺寸依赖性

作者:admin发布时间:2026-01-22浏览量:305

引言:

NiTi基形状记忆合金在塑性变形过程中主要存在力致马氏体相变与位错塑性两种机制的竞争。为拓宽超弹性温域、减小残余应变,常需提升位错滑移临界应力,使其超过相变临界应力。细化晶粒是抑制位错滑移的典型手段,但这同时导致相变受制,使上述两类应力同步提升。目前,关于相变与位错滑移临界应力的晶粒尺寸依赖性的相对强弱尚不明晰。文章通过熔炼、锻造、拔丝及晶化退火制得不同晶粒尺寸的Ni51Ti47Nb2(原子分数)合金丝材,利用变温拉伸表征了Ni51Ti47Nb2合金的超弹性与塑性变形行为。论文基于中国石油大学(北京)于开元教授团队研究成果及国家自然科学基金项目资助。


一、全文速览

NiTi基形状记忆合金因能发生奥氏体相与马氏体相间的可逆力致马氏体相变(SIMT)而展现超弹性,在航空航天、生物医疗等领域获广泛应用。为澄清NiTi基合金中力致相变与位错塑性的晶粒尺寸依赖性,需首先排除合金成分影响,聚焦单一合金成分。因此需要在单一成分合金的不同样品中实现力致相变与位错塑性并形成有效比较。学界久已共识,马氏体相变合金的塑性变形行为因受制于力致相变与位错塑性的竞争关系,而对变形温度非常敏感。变形温度较低时,力致相变临界应力低于位错滑移临界应力,故力致相变为主导机制;变形温度升高时,力致相变临界应力线性、快速提升,符合Clausius-Clapeyron关系;变形温度较高时,力致相变临界应力可超过位错滑移临界应力,而使得位错塑性变成主导机制。据此,调控变形温度,则可使单一成分合金的不同样品各自展现以力致相变或位错塑性主导的变形行为;再通过改变晶粒尺寸,则可实现比较其晶粒尺寸依赖性的目标。本文选取了R相变被完全抑制的NiTiNb合金作为研究对象,通过大变形冷拔与晶化退火获得了不同晶粒尺寸的Ni51Ti47Nb2丝材样品,利用TEM和光学显微镜统计了样品的平均晶粒尺寸及分布,采用DSC、电阻测试研究了样品的相变行为,通过变温拉伸试验表征了其变形行为,并基于此对力致相变与位错塑性的晶粒尺寸依赖性进行了测量与对比。


二、图文展示

图片

图1 NiTiNb合金丝材经不同温度退火后的微观形貌:(a)、(c)、(e)、(g)分别为经400,500,550和600 ℃退火10 min后合金的透射电镜明场像;(i)经700 ℃退火10 min后合金的光学显微镜图像;(b)、(d)、(f)、(h)、(j)为对应上述退火温度的晶粒尺寸分布统计,平均晶粒尺寸分别为13,45,171和497 nm、11.3 μm;(k)平均晶粒尺寸随退火温度升高的演变规律

图片

图2 不同晶粒尺寸的NiTiNb合金的热致相变行为:(a)归一化电阻(R/R300 ℃)曲线;(b)DSC曲线

图片

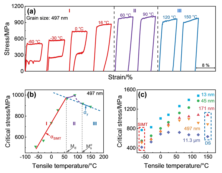
图3  NiTiNb合金丝材样品在不同拉伸温度(-60~150 ℃)下的拉伸力学行为及其屈服应力随拉伸温度的演变规律:(a)平均晶粒尺寸为497 nm的NiTiNb合金的拉伸曲线;(b)平均晶粒尺寸为497 nm的合金样品的屈服应力随拉伸温度变化规律;(c)不同晶粒尺寸合金样品的屈服应力随拉伸温度变化规律 

图片

图4 NiTiNb合金力致相变与位错塑性的晶粒尺寸依赖性对比:(a)不同晶粒尺寸合金样品在-60 ℃下的应力-应变曲线;(b)不同晶粒尺寸合金样品在150 ℃下的应力-应变曲线;(c)晶粒尺寸依赖性对比


三、结论

(1)经大变形冷拔和不同温度退火后获得的晶粒尺寸不同的Ni51Ti47Nb2合金R相变被完全抑制,且在不同温度分别展现以力致相变或位错塑性主导的变形行为,可实现比较力致相变与位错塑性的晶粒尺寸依赖性。

(2)Ni51Ti47Nb2合金力致相变与位错塑性均展现Hall-Petch型单调、线性的晶粒尺寸依赖性,前者随晶粒尺寸变化速率约为后者的1/5。

(3)晶粒尺寸越小,力致相变与位错塑性均越受制,但位错塑性受制更强,故变形过程中更易发生纯粹的力致相变,有利于合金展现优异超弹性。


引用本文:

文章发表于《功能材料》2025年第56卷第3期,欢迎引用本文:    

张强,杨优奕,王涛涛,等.NiTiNb合金力致相变与位错塑性的晶粒尺寸依赖性[J].功能材料,2025,56(3):03008-03012.

Zhang Q,Yang Y Y,Wang T T,et al.Grain size dependence of stress-induced transformation and dislocation plasticity in a NiTiNb alloy [J].Journal of Functional Materials, 2025,56(3):03008-03012.