厦门大学云大钦团队研究成果:硼掺杂氧化锌电子传输层对有机太阳能电池性能影响研究

作者:admin发布时间:2026-01-27浏览量:261

引言

图片

有机光伏器件(OPVs)相较于晶硅电池,具有彩色轻柔、半透明和低成本大面积制造等显著优势,因此受到了广泛关注。氧化锌(ZnO)因其优异的电子输运特性、环境友好性以及低温溶液加工能力,成为OPVs电子传输层(ETL)的关键材料。然而,ZnO纳米颗粒的表面缺陷影响了其载流子传输性能,需要进一步提升其电学性能。本文旨在研究硼掺杂ZnO作为ETL(B-ZnO)对OPVs光电性能的影响。


01、研究背景

(1)有机光伏器件的发展与挑战

有机光伏器件(OPVs)在AM1.5标准太阳光谱下的最高能量转换效率(PCE)已超过19%,但其光电转换效率仍低于传统无机太阳能电池。OPVs具有成本低、色彩鲜艳、透明、重量轻、面积大、能级可调、柔性化以及可卷对卷工艺制造等优点,在大规模供电方面更具吸引力。

(2)电子传输层的重要性

电子传输层(ETL)在OPVs中起着降低能量势垒、减少电子复合、提高电子提取效率以及作为空穴阻隔层的作用。ZnO因其高透光率、优异的电子输运特性、高热稳定性、成本低廉和溶液法易得等优点成为ETL的关键材料。

(3)ZnO的局限性

ZnO纳米颗粒的团聚导致表面缺陷和空位缺陷,增加了ETL的串联电阻和电荷复合;ZnO与有机活性层材料的相容性差,界面接触不良,导致电荷界面复合增加,聚合物降解加速;ZnO的表面亲水性也影响了界面电荷传输性能和器件长期稳定性。

(4)掺杂技术的探索

通过外来原子部分替位锌原子或氧原子以及填补ZnO空位缺陷,是解决上述问题的有效方案。阳离子掺杂(如In³⁺、Ga³⁺、Al³⁺等)和阴离子掺杂(如氟化物、氯化物和溴化物)被用于改善ZnO的电学性质。双元共掺杂技术(如Al³⁺和Cl⁻共掺杂)也展示了提高OPVs性能的潜力。硼掺杂因其能提高载流子浓度、增强电池效率和延长器件寿命而受到特别关注。


02、创新亮点

(1)硼掺杂策略:本文采用硼酸作为硼源,通过混合溶液法直接与氧化锌溶液混合进行掺杂,制备出B-ZnO ETL。硼掺杂不仅提高了ZnO的电学输运性能,还改善了薄膜质量,减少了界面缺陷态密度。

(2)性能提升:当硼酸掺杂比例为8%(质量分数)时,B-ZnO基OPVs的PCE达到8.76%,相比未掺杂的ZnO基器件(8.10%)提升了8.2%。硼掺杂优化了ETL的表面形貌,提高了电导率,增加了内建电势,减少了界面缺陷态密度。


03、图文展示

图片

图2 不同浓度硼酸掺杂对应ETL的XRD图谱

Fig.2 XRD diffraction pattern of boric acid doping or not

图片

图3 不同浓度硼酸掺杂ZnO对应ETL的AFM高度图像:(a)浓度为0%;(b)浓度为2%;(c)浓度为4%;(d)浓度为6%;(e)浓度为8%;(f)浓度为10%

Fig.3 2D AFM height images of electron transport layer films based on zinc oxide doping boric acid with different proportions

图片

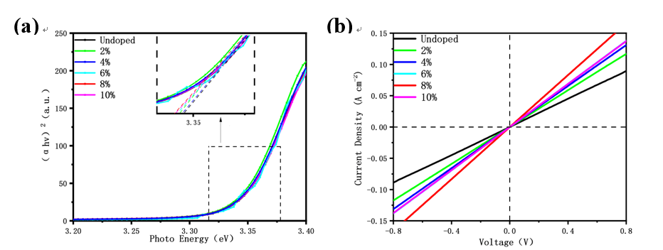
图4 (a)不同硼酸掺杂比例的(Ahν)2-hν关系曲线曲线图;(b)不同硼酸掺杂比例对应的ETL的导电率图

Fig.4 (a) Curves of the (Ahν)2-hν relationship with different boric acid doping ratio; (b) Conductivity of electron transport layer corresponding to different boric acid doping ratio

图片

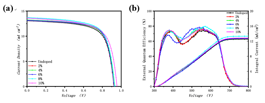
图5 不同浓度硼酸掺杂的B-ZnO基OPVs的 (a)J-V曲线图;(b)EQE曲线图

Fig.5 (a) J-V curves;(b) EQE profiles of OPVs with different boric acid doping concentrations

图片

图6 不同浓度硼酸掺杂的B-ZnO基OPVs的 (a)莫特肖特基曲线图;(b)SCLC曲线图。

Fig. 6 (a) Mot-schottky curve; (b) SCLC curve chart of OPVs with different boric acid doping concentrations


04、结论

本文通过混合溶液法制备了不同浓度硼酸掺杂的ZnO ETL,并研究了其对OPVs光电性能的影响。结果表明,适量硼掺杂(如8%(质量分数))显著提高了OPVs的PCE,这归因于B-ZnO ETL更好的表面形貌、更高的电导率、增加的内建电势以及减少的界面缺陷态密度。


引用本文

文章发表于《功能材料》2025年第56卷第5期,欢迎引用本文:    

叶天弘,任昕瑜,侯达,等.硼掺杂氧化锌电子传输层对有机太阳能电池性能影响研究[J].功能材料,2025,56(5):05152-05159.

Ye T H,Ren X Y,Hou D,et al.Effect of B-doped ZnO electron transport layer on the photovoltaic performance of organic solar cells[J].Journal of Functional Materials, 2025,56(5):05152-05159.