中国石油大学(北京) 于开元团队研究成果:含畴NiTiNb合金的变温拉伸力学行为与机制

作者:admin发布时间:2026-01-27浏览量:330

引言:

本文聚焦含畴NiTiNb合金的变温拉伸力学行为与机制的研究。NiTi基形状记忆合金因其独特的可逆热弹性马氏体相变特性,展现出优异的形状记忆效应与超弹特性,在航空航天、先进装备制造和生物医疗等领域具有广泛应用。然而,随着前沿领域如深空探测的快速发展,对形状记忆合金在极限条件下的功能与力学特性提出了更高要求。因此,深入探究NiTi基合金在宽温域内的力学行为及其调控机制显得尤为重要。文章基于中国石油大学(北京)于开元教授团队研究成果及国家自然科学基金项目资助。

1、研究背景

近年来,学界发现通过成分或缺陷调控,可使形状记忆合金的马氏体相变行为受阻,进而呈现出异常现象,如马氏体预相变、应变玻璃转变等。这些异常现象与合金中存在的纳米畴状组织密切相关。纳米畴作为热诱发微结构演变的结果,对马氏体相变行为具有深刻影响,并赋予了合金优异的超弹特性。然而,纳米畴对NiTi基合金力学行为(尤其是塑性变形)的影响规律尚不明晰。考虑到纳米畴作为母相基体中的畸变微区,其有望通过改变位错组态或运动行为来影响合金的宏观力学性能,因此成为本文的研究重点。

 

2、创新亮点

(1)纳米畴组织的精确调控:通过调控Ni含量与Ti+Nb含量的差值,成功制备出在较宽温域内富含纳米畴组织的NiTiNb合金。这一创新方法为深入研究纳米畴对合金力学行为的影响提供了基础。

(2)变温拉伸力学行为的系统表征:利用万能拉伸试验机对合金样品进行变温拉伸测试,系统表征了合金在不同温度下的拉伸力学行为。通过对比不同成分合金的临界相变应力、屈服强度、延伸率等力学性能指标,揭示了纳米畴对合金力学性能的影响规律。

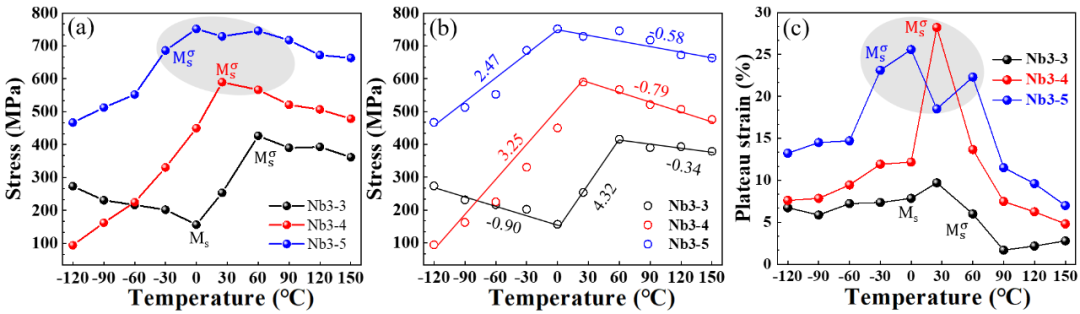
(3)纳米畴与力学性能关联性的深入解析:研究发现,合金的Ni-(Ti+Nb)差值越大,屈服应力的温度依赖性越小,合金可在更宽的温域内展现出高强度。当测试温度高于某一特征温度时,更大的Ni-(Ti+Nb)差值对应于合金的屈服强度与塑性同时提升。这一发现为优化NiTiNb合金的力学性能提供了理论依据。

(4)塑性变形机制的揭示:在塑性变形过程中,含纳米畴的Ni51Ti46Nb3合金生成了{114}奥氏体孪晶,进一步提升了位错运动能力,展现了优异的延伸率。同时,孪晶界的增加也起到了细化组织的作用,使合金兼具更高强度。这一发现为深入理解NiTiNb合金的塑性变形机制提供了新视角。


3、图文展示

图片

图1 Nb3-5合金在不同温度下的微观结构:(a)Nb3-5合金在20 ℃下TEM明场像及对应选区电子衍射花样;(b)Nb3-5合金在-120 ℃下TEM暗场像及对应选区电子衍射花样;(c)a和b中选区电子衍射花样衍射强度对比

Fig.1 Microstructures of Nb3-5 alloy at different temperatures: (a) bright-field TEM image and the corresponding selected electron diffraction pattern of Nb3-5 alloy at 20 ℃; (b) dark-field TEM image and the corresponding selected electron diffraction pattern of Nb3-5 alloy at -120 ℃; (c) comparison of diffraction intensities

图片

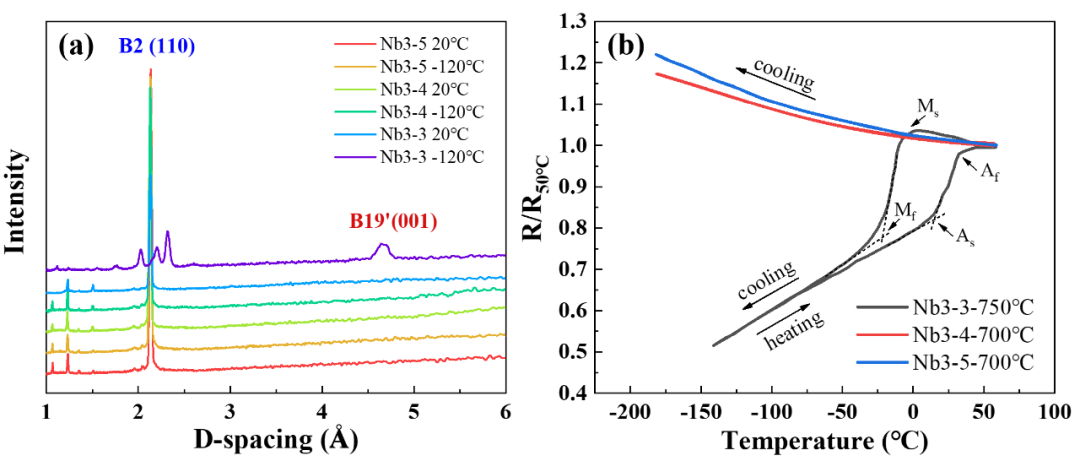
 图2 NiTiNb合金热致相变行为:(a)升降温过程中的电阻曲线;(b)XRD一维谱线

Fig.2 Thermally-induced transformation behavior of NiTiNb alloys: (a) ER curves during cooling and heating; (b) one-dimensional XRD patterns

图片

 图3 NiTiNb合金在-120~150 ℃温度范围内的拉伸应力应变曲线:(a)Nb3-3;(b)Nb3-4;(c)Nb3-5

Fig.3 Tensile stress-strain curves of the NiTiNb alloys at various temperatures over -120 to 150 ℃: (a) Nb3-3; (b) Nb3-4; (c) Nb3-5

图片

 图4 NiTiNb合金临界应力和平台应变的温度依赖性:(a)临界应力与测试温度的关系曲线;(b)a图中各阶段线性拟合;(c)平台应变与测试温度的关系曲线

Fig.4 Temperature dependences of critical stresses and plateau strain for the NiTiNb alloys: (a) the relationship between critical stresses and test temperature of NiTiNb alloys; (b) the linear fit of figure (a); (c) the relationship between plateau strains and test temperature

图片

 图5 Nb3-5合金在室温拉伸至30%应变卸载后的微观结构:(a){114}奥氏体孪晶明场像;(b)选区电子衍射花样,晶带轴为B2[110]

Fig.5 Microstructure of Nb3-5 alloy after stretching to 30% strain unloading at room temperature: (a) bright-field image of {114} austenitic twin; (b) diffraction pattern observed with the B2[110] band axis


4、结论

(1)纳米畴组织的成功制备:通过调控合金成分,成功在较宽温域内获得了富含纳米畴组织的NiTiNb合金。

(2)力学性能与成分的关联性:合金的Ni-(Ti+Nb)差值对其力学性能具有显著影响。差值越大,合金在更宽温域内展现出高强度;当测试温度高于某一特征温度时,差值越大,合金的屈服强度与塑性同时提升。

(3)塑性变形机制的阐明:含纳米畴的NiTiNb合金在塑性变形过程中生成{114}奥氏体孪晶,提升了位错运动能力,展现了优异的延伸率,并细化了组织,使合金兼具更高强度。


图片

引用本文  

 

文章发表于《功能材料》2025年第56卷第5期,欢迎引用本文:    

孙祎帆,李彦,张强,等.含畴NiTiNb合金的变温拉伸力学行为与机制[J].功能材料,2025,56(5):05110-05114.

Sun Y F,Li Y,Zhang Q,et al.Mechanical behaviors and deformation mechanisms of domain-containing NiTiNb alloys subjected to tensile tests at various temperatures. Journal of Functional Materials,2025,56(5):05110-05114.