广东工业大学闵永刚团队研究成果:聚酰亚胺气凝胶的制备及其隔热性能研究

作者:admin发布时间:2026-02-03浏览量:551

引言:

气凝胶材料作为一种由聚合物分子或纳米颗粒构成的三维多孔材料,具有低密度、高孔隙率和高比表面积等显著优点,在隔热保温、吸音、阻燃、吸附及催化剂载体等多个领域展现出巨大的应用潜力。聚酰亚胺气凝胶,作为有机气凝胶的一种,结合了高韧性和优异的热稳定性,因而受到广泛关注。文章基于广东工业大学闵永刚教授团队研究成果及国家自然科学基金项目等资助。

1、研究背景

目前,聚酰亚胺气凝胶的制备主要采用超临界干燥法、常压干燥法和冷冻干燥法。超临界干燥法需大量溶剂置换,且高温下收缩严重;常压干燥法则因气液界面张力和毛细管力导致样品体积收缩和孔隙塌陷。冷冻干燥法以水为溶剂,通过升华去除溶剂,保留多孔结构,成本低廉且环保,成为一种有前景的制备方法。然而,现有研究多聚焦于制备方法或改性方法对聚酰亚胺气凝胶结构的影响,对其构效关系,特别是力学性能、热稳定性和隔热性能的系统研究较少。


2、创新亮点


(1)制备工艺创新

本文选用PMDA和BPDA两种二酐单体,结合冷冻干燥法和热亚胺化法制备聚酰亚胺气凝胶。这种方法不仅成本低廉且环保,还能有效控制气凝胶的微观结构,提高其综合性能。

(2)系统研究构效关系

本文不仅探究了不同单体和固含量对聚酰亚胺气凝胶收缩率、密度、孔隙率等基础性能的影响,还通过导热系数和高温红外热像仪观测,系统分析了这些因素对隔热性能的影响,为后续研究提供了全面的数据支持。

(3)优异性能展示

研究发现,BPDA型气凝胶的综合性能优于PMDA型,特别是BP2样品的导热系数低至0.04062 W/(m·K),在250 ℃下保温300 s后温度稳定在107.4 ℃,显示出卓越的隔热性能。这一发现为高性能隔热材料的开发提供了新思路。


3、图文展示

图片

图1 聚酰亚胺气凝胶的制备流程图

Fig.1 Preparation flow chart of polyimide aerogel

图片

图3 所制得8组聚酰亚胺气凝胶的SEM:(a)-(d)分为PM2、PM4、PM6、PM8;(e)-(h)分别为BP2、BP4、BP6、BP8

Fig. 3 SEM of 8 groups of polyimide aerogels. Wherein: (a)-(d) PM2, PM4, pm6 and PM8 respectively; (e)-(H) BP2, BP4, BP6 and BP8 respectively

图片

图4 不同单体及固含量的聚酰亚胺气凝胶的密度(a)和线收缩率(b)图

Fig.4 Density and linear shrinkage of polyimide aerogels with different monomer and solid content: (a) the density; (b) the linear shrinkage graph

图片

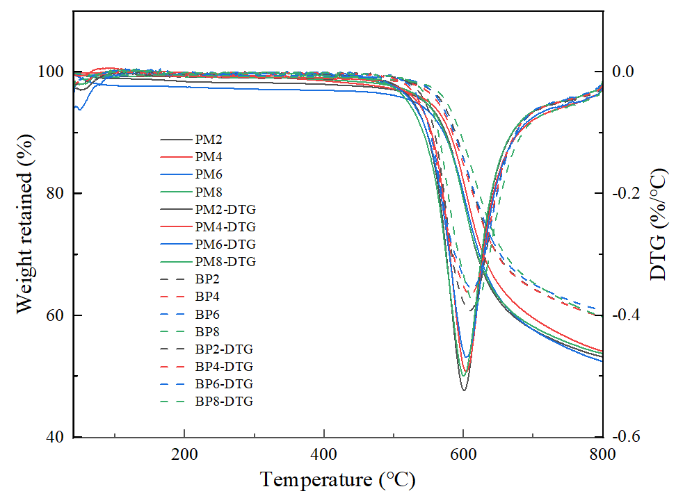
图6 不同单体及固含量的聚酰亚胺气凝胶的TG-DTG图

Fig.6 TG-DTG diagram of polyimide aerogels with different monomer and solid content

图片

图7 不同单体及固含量的聚酰亚胺气凝胶的抗压强度(a)和弹性模量(b)图

Fig.7 Compressive strength and elastic modulus of polyimide aerogels with different monomer and solid content

图片

图9 PMDA型气凝胶在250 ℃下的热成像图

Fig.9 Thermal image of PMDA aerogel at 250 ℃


4、结论


(1)固含量对基础性能的影响:气凝胶的固含量显著影响其密度、收缩率和孔隙率。固含量越小,密度越低,收缩率越大,孔隙率越高,且大部分为开孔结构。随着固含量的增加,闭孔率逐渐升高。

(2)力学性能与固含量的关系:两种气凝胶的力学性能均随固含量的提高而增强。PMDA和BPDA型气凝胶的抗压强度和弹性模量在固含量为8%时达到最佳值,且BPDA型气凝胶的力学性能整体优于PMDA型。

(3)隔热性能的优势:BPDA型气凝胶的热导率整体低于PMDA型,且两种气凝胶的热导率均随固含量的降低而减小。在250 ℃下保温300 s后,BP2样品表现出最佳隔热性能,温度稳定在107.4 ℃,为高性能隔热材料的设计和应用提供了有力支持。


图片

引用本文  

文章发表于《功能材料》2025年第56卷第7期,欢迎引用本文:    

王柏霖,王子青,余文涛,等.聚酰亚胺气凝胶的制备及其隔热性能研究[J].功能材料,2025,56(7):07029-07034.

Wang B L,Wang Z Q,Yu W T,et al.Study on preparation and thermal insulation of polyimide aerogel[J].Journal of Functional Materials,2025,56(7):07029-07034.